Discussion 5: Trees
Attendance
Your TA will come around during discussion to check you in. You can start on the worksheet before being checked in; you don't need to wait for your TA to get started.
If you didn't attend for a good reason (such as being sick), fill out this form (within 2 weeks of your discussion): attendance formGetting Started
What's your favorite tree?
Trees
For a tree t:
- Its root label can be any value, and
label(t)returns it. - Its branches are trees, and
branches(t)returns a list of branches. - An identical tree can be constructed with
tree(label(t), branches(t)). - You can call functions that take trees as arguments, such as
is_leaf(t). - That's how you work with trees. No
t == xort[0]orx in torlist(t), etc. - There's no way to change a tree (that doesn't violate an abstraction barrier).
Here's an example tree t1, for which its branch branches(t1)[1] is t2.
t2 = tree(5, [tree(6), tree(7)])
t1 = tree(3, [tree(4), t2])

A path is a sequence of trees in which each is the parent of the next.
You don't need to know how tree, label, and branches are implemented in
order to use them correctly, but here is the implementation from lecture.
def tree(label, branches=[]):
for branch in branches:
assert is_tree(branch), 'branches must be trees'
return [label] + list(branches)
def label(tree):
return tree[0]
def branches(tree):
return tree[1:]
def is_leaf(tree):
return not branches(tree)
def is_tree(tree):
if type(tree) != list or len(tree) < 1:
return False
for branch in branches(tree):
if not is_tree(branch):
return False
return True
Q1: Warm Up
What value is bound to result?
result = label(min(branches(max([t1, t2], key=label)), key=label))
Solution
6: max([t1, t2], key=label) evaluates to the t2 tree because its label 5 is
larger than t1's label 3. Among t2's branches (which are leaves), the left one
labeled 6 has a smaller label.
How convoluted!
Here's a quick refresher on how key functions work with max and min,
max(s, key=f) returns the item x in s for which f(x) is largest.
>>> s = [-3, -5, -4, -1, -2]
>>> max(s)
-1
>>> max(s, key=abs)
-5
>>> max([abs(x) for x in s])
5
Therefore, max([t1, t2], key=label) returns the tree with the largest label,
in this case t2.
In case you're wondering, this expression does not violate an abstraction
barrier. [t1, t2] and branches(t) are both lists (not trees), and so it's
fine to call min and max on them.
Q2: Has Path
Implement has_path, which takes a tree t and a list p. It returns whether
there is a path from the root of t with labels p. For example, t1 has a
path from its root with labels [3, 5, 6] but not [3, 4, 6] or [5, 6].
Important: Before trying to implement this function, discuss these questions from lecture about the recursive call of a tree processing function:
- What small initial choice can I make (such as which branch to explore)?
- What recursive call should I make for each option?
How can I combine the results of those recursive calls?
- What type of values do they return?
- What do those return values mean?
def has_path(t, p):
"""Return whether tree t has a path from the root with labels p.
>>> t2 = tree(5, [tree(6), tree(7)])
>>> t1 = tree(3, [tree(4), t2])
>>> has_path(t1, [5, 6]) # This path is not from the root of t1
False
>>> has_path(t2, [5, 6]) # This path is from the root of t2
True
>>> has_path(t1, [3, 5]) # This path does not go to a leaf, but that's ok
True
>>> has_path(t1, [3, 5, 6]) # This path goes to a leaf
True
>>> has_path(t1, [3, 4, 5, 6]) # There is no path with these labels
False
"""
if p == [label(t)]:
return True
elif label(t) != p[0]:
return False
else:
return any([has_path(b, p[1:]) for b in branches(t)])
for b in branches(t):
if has_path(b, p[1:]):
return True
return False
Q3: Find Path
Implement find_path, which takes a tree t with unique labels and a value
x. It returns a list containing the labels of the nodes along a path from the
root of t to a node labeled x.
If x is not a label in t, return None. Assume that the labels of t are unique.
def find_path(t, x):
"""
>>> t2 = tree(5, [tree(6), tree(7)])
>>> t1 = tree(3, [tree(4), t2])
>>> find_path(t1, 5)
[3, 5]
>>> find_path(t1, 4)
[3, 4]
>>> find_path(t1, 6)
[3, 5, 6]
>>> find_path(t2, 6)
[5, 6]
>>> print(find_path(t1, 2))
None
"""
if label(t) == x:
return [label(t)]
for b in branches(t):
path = find_path(b, x)
if path:
return [label(t)] + path
return None
[label(t)] creates a one-element list of the labels along a path that starts at the root of t and also ends there, since the root is labeled x.
The assignment path = find_path(b, x) allows the return value of this recursive call to be used twice: once to check if it's None (which is a false value) and again to build a longer list.
The expression [label(t)] + path for a tree t and list path creates a longer list that starts with the label of t and continues with the elements of path.
Description Time! When your group has completed this question, it's time to
describe why this function does not have a base case that uses is_leaf. If you
can't figure it out, talk to a TA.
![]()
Optional Question
Q4: Only Paths
Implement only_paths, which takes a Tree of numbers t and a number n. It
returns a new tree with only the nodes of t that are on a path from the root
to a leaf with labels that sum to n, or None if no path sums to n.
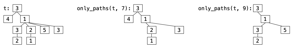
Here is an illustration of the doctest examples involving t.

def only_paths(t, n):
"""Return a tree with only the nodes of t along paths from the root to a leaf of t for which the node labels of the path sum to n. If no paths sum to n, return None.
>>> t = tree(3, [tree(4), tree(1, [tree(3, [tree(2)]), tree(2, [tree(1)]), tree(5), tree(3)])])
>>> print_tree(only_paths(t, 7))
3
4
1
2
1
3
>>> print_tree(only_paths(t, 9))
3
1
3
2
5
>>> print(only_paths(t, 3))
None
"""
if n == label(t) and is_leaf(t):
return t
new_branches = [only_paths(b, n - label(t)) for b in branches(t)]
if any(new_branches):
return tree(label(t), [b for b in new_branches if b is not None])